今天小库为大家整理了专升本高等数学备考公式!超级实用的公式,遇到题往里带就行了!下面就跟着小编一起来看看以下具体详情,希望对考生有帮助。
等价无穷小公式

求导公式

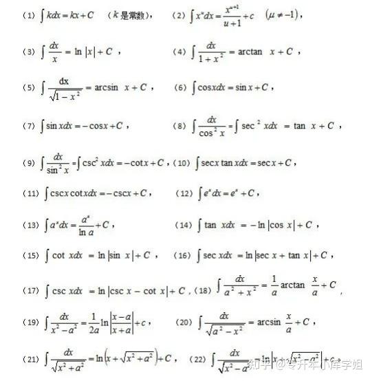
积分公式

微分方程公式


无穷级数(将函数展开成幂级数的公式)

空间向量与解析几何

本站通过ai自动登载内容,本文来自于知乎作者:专升本小库学姐,仅代表原作者个人观点。本站旨在传播优质文章,无商业用途。如不想在本站展示可联系删除
本文来自于网络或用户投稿,本站仅供信息存储,阅读前请先查看【免责声明】,若本文侵犯了原著者的合法权益,可联系我们进行处理。本文链接:https://www.trustany.com/edu/2072.html